ALK融合:非小细胞肺癌之外的严峻挑战
间变性淋巴瘤激酶(ALK)基因融合是一种重要的致癌驱动因子,它在非小细胞肺癌(NSCLC)中的研究已相对成熟,并催生了多款高效的靶向药物。然而,当ALK融合出现在NSCLC以外的转移性实体瘤中时,它对患者预后的影响又是如何呢?一项最新的真实世界研究为我们揭示了答案:对于非NSCLC的转移性实体瘤患者,ALK融合是一个明确的不良预后信号,与患者总生存期的显著缩短密切相关。
这项研究的数据强调,在标准治疗方案下,携带ALK融合的实体瘤患者面临着更为严峻的生存挑战,这也凸显了开发和应用针对ALK靶点的精准治疗方案的紧迫性。
研究背景:为何要关注非NSCLC中的ALK融合?
ALK融合在所有癌症中的检出率虽然不高,大约在0.2%至0.8%之间,但它却是多种肿瘤生长和增殖的关键驱动力。在NSCLC领域,以克唑替尼(Crizotinib)为首,后续的色瑞替尼、阿来替尼(Alectinib)、布格替尼(Brigatinib)和洛拉替尼(Lorlatinib)等ALK抑制剂的问世,彻底改变了ALK阳性NSCLC患者的治疗格局,使其成为一线标准治疗。
然而,在NSCLC之外的广阔实体瘤领域,ALK融合阳性患者的治疗现状却不容乐观。传统的标准化疗或放疗效果有限,且常常伴随显著的毒副作用,患者的医疗需求远未被满足。因此,迫切需要能够精准靶向ALK融合的治疗方法。本研究的目的正是为了深入了解在真实世界中,ALK融合这一生物标志物对非NSCLC实体瘤患者的临床特征和生存结局究竟意味着什么。
研究速览:ALK融合阳性患者的真实世界画像
该研究数据来源于一个大型临床基因组数据库,研究人员筛选出22例符合条件的ALK融合阳性转移性实体瘤(非NSCLC)患者,并按照4:1的比例匹配了88例ALK野生型(ALK-WT)患者作为对照组,对两组的临床特征和生存数据进行了深入分析。

图1:患者筛选流程

表1:患者基线特征
患者的临床与基因组特征
研究发现,在ALK融合阳性队列中,包含了8种不同的肿瘤类型,其中最常见的是结直肠癌(40.9%),其次是肉瘤(13.6%)和前列腺癌(13.6%)。这表明ALK融合可以发生在多种组织来源的肿瘤中。

图2:ALK融合阳性队列的肿瘤类型分布
从基因层面看,ALK融合阳性患者中很少出现其他常见的致癌驱动基因共突变(如KRAS),这暗示ALK融合是这些患者肿瘤发展的主要驱动力。值得注意的是,TP53突变在两组中都较为常见(ALK融合组为50.0%,ALK野生型组为44.3%),这可能对患者的预后产生额外的负面影响。

表2:基因组变异情况
核心发现:ALK融合显著缩短患者生存期
本研究最核心的发现集中在总生存期(OS)的对比上。无论采用何种统计模型进行分析,结果都一致指向同一个结论:ALK融合阳性肿瘤患者的中位总生存期持续低于ALK野生型肿瘤患者。
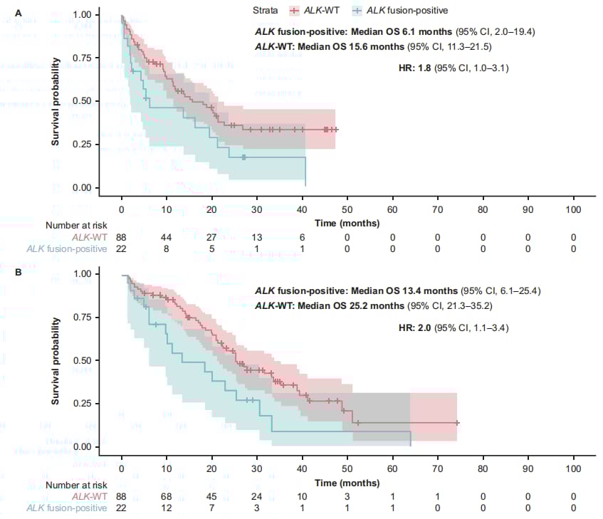
- 以全面基因组分析(CGP)报告日期为起点计算,ALK融合阳性队列的中位OS仅为6.1个月,而对照组为15.6个月。
- 风险比(HR)在1.8至2.0之间,这意味着ALK融合阳性肿瘤患者的死亡风险几乎是野生型患者的两倍。
这些冰冷的数据清晰地表明,ALK融合是转移性实体瘤中一个强有力的不良预后因素。对于需要这些前沿靶向药物的患者,如何获取是一个现实问题。MedFind致力于为全球癌症患者提供可靠的购药渠道,如果您想了解更多关于ALK抑制剂的价格和购买方式,我们的专业团队可以提供帮助。

表3:总生存期分析结果


图3:总生存期曲线
研究人员还进行了敏感性分析,在校正了TP53共突变的影响后,ALK融合的不良预后作用依然存在,进一步证实了其作为独立预后因素的价值。


图4:校正TP53变异后的生存分析
临床启示:“泛癌种”治疗策略的迫切需求
这项研究结果不仅揭示了ALK融合的预后价值,更重要的是,它为未来的治疗策略指明了方向。由于ALK融合在非NSCLC实体瘤中极为罕见(本研究从超过2万名患者中仅筛选出22例),开展传统的、针对特定癌种的大规模临床试验几乎不可能。
因此,“泛癌种(Tumor-Agnostic)”的治疗理念显得尤为重要。这意味着治疗决策不再仅仅基于肿瘤的组织来源(如结直肠癌、肉瘤),而是基于其特定的分子特征(如ALK融合)。篮式试验或平台试验等创新的研究设计,正在为这类罕见突变患者群体探索新的治疗可能。面对复杂的病情和治疗选择,许多患者和家属感到迷茫。MedFind的AI问诊服务可以帮助您梳理病情,理解治疗方案,为您提供个性化的信息支持。
总结与展望:精准检测引领未来治疗
总而言之,这项真实世界研究强有力地证明了,在非NSCLC的转移性实体瘤中,ALK融合是一个与不良预后和生存期缩短相关的关键生物标志物。这一发现凸显了当前标准治疗的局限性,并强调了对ALK抑制剂等精准疗法的迫切需求。
对于患者而言,这意味着进行全面的基因组检测变得愈发重要。只有准确识别出像ALK融合这样的致癌驱动因子,才能有机会从靶向治疗中获益,从而可能改变预后不佳的局面。随着“泛癌种”药物研发的不断推进,未来有望为更多携带罕见突变的患者带来持久的临床获益和新的生存希望。抗癌之路充满挑战,获取准确的药物信息至关重要。MedFind的抗癌资讯板块持续更新全球最新的研究进展和药物信息,帮助您做出更明智的决策。
