对于局部晚期或炎性乳腺癌患者,新辅助化疗(NAC)是一种重要的治疗策略。其主要目标是在手术前缩小肿瘤,从而让部分原本需要接受乳房切除术的患者有机会进行保乳手术,同时也可能降低腋窝淋巴结的分期,避免进行腋窝淋巴结清扫术。在新辅助化疗后实现病理完全缓解(pCR)对患者预后至关重要,尤其是在侵袭性较强的HER2阳性乳腺癌和三阴性乳腺癌(TNBC)亚型中,pCR与更高的生存率显著相关。不同分子亚型的乳腺癌对新辅助化疗的反应各异,通常HER2阳性和三阴性乳腺癌的pCR率更高。
目前,评估新辅助化疗效果主要依赖于术前的临床检查和影像学检查。磁共振成像(MRI)在评估肿瘤反应和残留病灶方面通常被认为比数字乳腺钼靶摄影(DM)和超声(US)更准确。然而,MRI评估也存在局限性,研究报告显示其可能在6%至19%的病例中高估残留病灶,在7%至28%的病例中低估残留病灶。高估可能导致不必要地扩大手术范围,而低估则可能导致切缘阳性或需要再次手术。因此,开发更精准预测pCR的影像学方法,对于为接受新辅助化疗的患者量身定制治疗方案具有重要意义。
近年来,基于人工智能的计算机辅助诊断(AI-CAD)技术发展迅速,有望提高诊断准确性并减轻放射科医生的工作负担。市面上已出现多种用于数字乳腺钼靶摄影的AI-CAD系统,它们能够标记异常发现并给出癌症可疑度评分。研究显示AI-CAD能在乳腺钼靶筛查中辅助甚至替代放射科医生。然而,将AI-CAD应用于数字乳腺钼靶来预测乳腺癌患者对新辅助化疗的反应,其效果如何仍需深入研究。

近期,《European Radiology》发表的一项研究就探讨了这个问题。研究旨在评估在HER2阳性和三阴性乳腺癌中,利用基于AI-CAD的数字乳腺钼靶(DM)预测新辅助化疗(NAC)后病理完全缓解(pCR)的能力,并将其与动态对比增强MRI(DCE-MRI)进行了比较。
这项单中心研究回顾性分析了2020年9月至2021年8月间接受NAC和手术的HER2阳性或三阴性乳腺癌患者数据,用于构建pCR预测模型。同时,前瞻性地纳入了2021年12月至2022年7月间参与ASLAN试验的患者作为验证队列。研究收集了患者的临床病理数据以及NAC前后的DM和MRI扫描结果,通过逻辑回归分析构建了四种预测模型:临床病理模型、MRI模型、DM联合AI-CAD模型以及包含所有信息的联合模型。
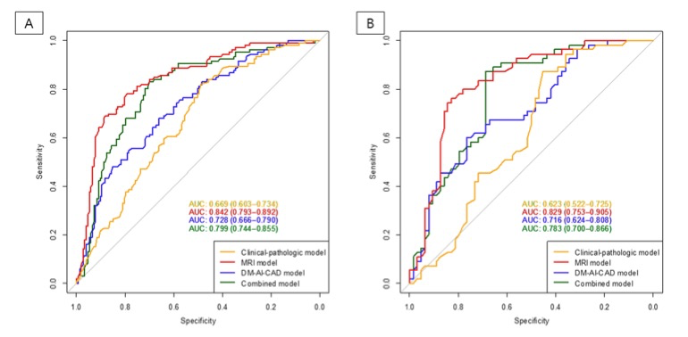
结果显示,建模队列包含259名女性(平均年龄53岁),验证队列包含119名女性(平均年龄50.8岁)。在验证队列中,以NAC后DM的AI-CAD评分≤16作为影像学完全缓解标准,DM联合AI-CAD模型预测pCR的受试者工作特征曲线下面积(AUC)优于单纯的临床病理模型(0.72 vs 0.62;P = 0.01)。然而,MRI模型的AUC表现最佳(0.83),其次是联合模型(0.78)。

图:开发队列和验证队列中预测模型的受试者工作特征曲线(ROC曲线)。A 开发队列;B 验证队列。
该研究表明,在HER2阳性和三阴性乳腺癌患者中,使用基于AI-CAD评分的数字乳腺钼靶模型来预测新辅助化疗后的病理完全缓解,其准确性优于仅依赖临床病理因素的模型,但目前仍不及MRI模型。虽然这项研究聚焦于影像学预测,但最终目标是优化个体化治疗方案。对于需要特定靶向药物或考虑仿制药选项的HER2阳性或三阴性乳腺癌患者,获取可靠的[药物信息和购买渠道](https://medfind.link/shop)同样关键。未来仍需进一步探索和优化AI技术在癌症疗效预测中的应用。
研究来源:European Radiology (DOI: 10.1007/s00330-025-11390-x)
