研究背景:腋窝治疗的演变与争议
乳腺癌的治疗策略正朝着更个体化、创伤更小的方向发展。过去,腋窝淋巴结清扫术(ALND)是评估淋巴结是否转移的标准方法,但可能带来手臂淋巴水肿等副作用。如今,前哨淋巴结活检(sentinel lymph node biopsy,SLNB)已成为许多早期乳腺癌患者腋窝处理的首选,它创伤小且能有效评估淋巴结状态。然而,当SLNB结果显示前哨淋巴结(SLN)有癌细胞转移(即SLN阳性)时,如果患者选择不进行后续的ALND,那么是否需要接受区域淋巴结照射(regional lymph node irradiation,RNI)来清除可能残留的癌细胞,目前在医学界尚无定论。本研究旨在回顾性分析SLN阳性且未行ALND的乳腺癌患者的临床数据和预后,评估RNI在这些患者中的实际应用效果,为制定更精准的治疗方案提供参考。
研究方法与患者特征
这项研究回顾了2014年9月至2023年8月在山东省肿瘤医院接受SLNB治疗的乳腺癌患者数据。研究纳入了356例符合标准的SLN阳性且未行ALND的患者。根据术后是否接受了覆盖淋巴结区域(内乳、腋窝、锁骨上下)的放疗,将患者分为RNI组(186例)和no-RNI组(170例)。研究人员收集了患者的年龄、体重、绝经状态、肿瘤特征(大小、位置、病理类型、分级、淋巴管侵犯、ER/PR/HER-2状态)、手术方式(保乳或全切)以及后续治疗(化疗、内分泌治疗)等信息,并进行了长期随访。
两组患者在年龄、BMI、绝经状态、肿瘤位置、病理类型、组织学分级、淋巴管血管侵犯以及激素受体(ER、PR)和HER-2表达状态等方面没有显著差异。但值得注意的是,接受RNI治疗的患者组(RNI组)中,阳性SLN的数量更多、肿瘤T分期更高、以及接受全乳切除术的比例也显著更高。

图1 研究对象纳入流程图

表1 两组患者基线临床病理特征比较
核心发现:RNI对生存结局的影响
经过中位38个月的随访,研究结果显示:
- 复发与转移:RNI组没有出现任何复发或转移病例。相比之下,no-RNI组有6例患者(占3.5%)出现复发或转移,其中4例为局部区域复发,2例为远处转移。
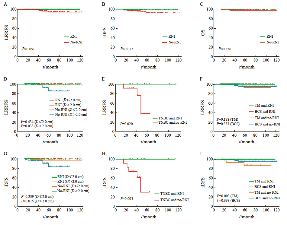
- 生存率:无浸润性疾病复发生存(iDFS):RNI组显著优于no-RNI组(P=0.017),意味着接受RNI的患者在随访期内保持无浸润性疾病状态的时间更长。
- 局部区域无复发生存(LRRFS):RNI组有改善趋势,但与no-RNI组相比差异未达到统计学显著性(P=0.051)。
- 总生存(OS):两组之间没有观察到统计学上的显著差异(P=0.356)。

图2 基于是否接受RNI的乳腺癌患者生存分析Kaplan-Meier曲线
Kaplan-Meier曲线展示了患者的LRRFS、iDFS和OS。第一行比较了所有患者中RNI组(绿线)和no-RNI组(红线)的LRRFS (A)、iDFS (B)和OS (C)。第二、三行展示了不同亚组患者LRRFS和iDFS的探索性分析。D-G:肿瘤大小亚组。E-H:三阴性乳腺癌(TNBC)患者。F, I:手术方式亚组。
亚组分析:哪些患者更能从RNI中获益?
为了进一步探索哪些特定人群可能从RNI中获益更多,研究人员进行了亚组分析。结果初步提示:
- 对于肿瘤直径大于2厘米的患者,接受RNI可能与更好的LRRFS相关(P=0.033)。
- 对于分子分型为三阴性乳腺癌(TNBC)的患者,接受RNI也可能带来LRRFS方面的获益(P=0.020)。
- 在iDFS方面,肿瘤直径>2cm、TNBC以及接受全乳切除术的患者似乎从RNI中获益更明显。
这些发现表明,对于具有较高复发风险特征(如肿瘤较大、特定分子亚型如TNBC)的SLN阳性、未行ALND的乳腺癌患者,RNI可能扮演着更重要的角色。
讨论:RNI在个体化治疗中的定位
随着乳腺癌治疗进入精准时代,SLNB取代ALND已成为趋势,尤其是在1-2个SLN阳性的患者中。ACOSOG Z0011、AMAROS等大型临床试验已经证实,对于部分SLN阳性的早期乳腺癌患者,省略ALND是安全的,并不会显著增加复发风险或影响总生存率,同时还能减少手术相关的并发症,提高生活质量。然而,这些研究并未完全解答豁免ALND后RNI的必要性问题,不同研究中的放疗方案也存在差异。
本研究的结果支持了RNI在改善iDFS方面的作用,并且观察到所有复发转移事件均发生在未接受RNI的患者组。尽管RNI组本身可能包含更多高风险因素(如更多阳性SLN、更高T分期),但并未出现复发转移,这间接提示了RNI在控制局部区域疾病进展中的潜在价值,尤其是在高风险患者(如肿瘤较大、TNBC)中。
当然,决定是否进行RNI还需要考虑患者非前哨淋巴结(non-SLN)的转移风险。一些预测模型(如MSKCC模型)可以帮助评估这种风险。对于non-SLN转移风险较高的患者,进行RNI或ALND可能是必要的。
了解自身的具体病情和风险因素,与医生充分沟通,是制定最佳个体化治疗方案的关键。如果您对乳腺癌的治疗方案,特别是放疗的选择有疑问,或想了解更多关于不同分子亚型(如**TNBC**、HER2阳性)的治疗选择和**靶向药**、**仿制药**信息,可以查阅相关抗癌资讯。
研究结论与展望
本回顾性研究表明,对于前哨淋巴结(SLN)阳性且未接受腋窝淋巴结清扫术(ALND)的早期乳腺癌患者,增加区域淋巴结照射(RNI)显著改善了无浸润性疾病复发生存(iDFS)。虽然在总生存(OS)和局部区域无复发生存(LRRFS)方面未显示统计学显著差异,但没有接受RNI的患者组出现了所有复发转移事件。亚组分析提示,肿瘤直径较大或分子分型为三阴性乳腺癌(TNBC)等具有较高复发风险的患者,可能更能从RNI中获益。
尽管本研究存在回顾性设计、基线不平衡和随访时间相对较短等局限性,但其结果强调了在有效的全身治疗背景下,对于部分高风险的SLN阳性、豁免ALND的乳腺癌患者,RNI在降低复发风险方面仍具有不可忽视的临床意义。未来的研究,如T-REX和TAILOR-RT等前瞻性试验,将为更精准地确定哪些患者需要RNI提供更高级别的证据,推动乳腺癌放疗策略向更个体化的方向发展。
[参考文献]
[1] 李 培, 吴 炅. 中国乳腺癌外科治疗现状和新趋势[J].中国肿瘤临床, 2022, 49(22): 1151-1155.
LI P, WU J. Current status and new trends of surgical treatment for breast cancer in China[J]. Chin J Clin Oncol, 2022, 49(22): 1151-1155.
[2] GIULIANO A E, KIRGAN D M, GUENTHER J M, et al. Lymphatic mapping and sentinel lymphadenectomy for breast cancer[J]. Ann Surg, 1994, 220(3): 391-398;discussion, 398-401.
[3] POODT I G M, SPRONK P E R, VUGTS G, et al. Trends on axillary surgery in nondistant metastatic breast cancer patients treated between 2011 and 2015: a Dutch population-based study in the ACOSOG-Z0011 and AMAROS era[J]. Ann Surg, 2018, 268(6): 1084-1090.
[4] GARCIA-ETIENNE C A, MANSEL R E, TOMATIS M, et al. Trends in axillary lymph node disp for early-stage breast cancer in Europe: impact of evidence on practice[J]. Breast, 2019, 45: 89-96.
[5] DONKER M, VAN TIENHOVEN G, STRAVER M E, et al. Radiotherapy or surgery of the axilla after a positive sentinel node in breast cancer (EORTC 10981-22023 AMAROS): a randomised, multicentre, open-label, phase 3 non inferiority trial[J]. Lancet Oncol, 2014, 15(12): 1303-1310.
[6] GIULIANO A E, BALLMAN K V, MCCALL L, et al. Effect of axillary disp vs no axillary disp on 10-year overall survival among women with invasive breast cancer and sentinel node metastasis: the ACOSOG Z0011 (alliance) randomized clinical trial[J]. JAMA, 2017, 318(10): 918-926.
[7] GALIMBERTI V, COLE B F, VIALE G, et al. Axillary disp versus no axillary disp in patients with breast cancer and sentinel-node micrometastases (IBCSG 23-01): 10- year follow-up of a randomised, controlled phase 3 trial[J]. Lancet Oncol, 2018, 19(10): 1385-1393.
[8] GIULIANO A E, HUNT K K, BALLMAN K V, et al. Axillary disp vs no axillary disp in women with invasive breast cancer and sentinel node metastasis: a randomized clinical trial[J]. JAMA, 2011, 305(6): 569-575.
[9] JAGSI R, CHADHA M, MONI J, et al. Radiation field design in the ACOSOG Z0011 (alliance) trial[J]. J Clin Oncol, 2014, 32(32): 3600-3606.
[10] BARTELS S A L, DONKER M, PONCET C, et al. Radiotherapy or surgery of the axilla after a positive sentinel node in breast cancer: 10-year results of the randomized controlled EORTC 10981-22023 AMAROS trial[J]. J Clin Oncol, 2023, 41(12): 2159-2165.
[11] DE BONIFACE J, TVEDSKOV T F, RYDÉN L, et al. Omitting axillary disp in breast cancer with sentinel-node metastases[J]. N Engl J Med, 2024, 390(13): 1163-1175.
[12] 袁芊芊, 侯晋轩, 苏科华, 等. 基于上肢淋巴引流的乳腺癌术后水肿风险因素分析[J]. 中华普通外科杂志, 2021, 36(8): 579-584.
YUAN Q Q, HOU J X, SU K H, et al. Risk factors analysis of breast cancer-related lymphedema based on the proportion of the arm lymph flow above and below the axillary vein[J]. Chin J Gen Surg, 2021, 36(8): 579-584.
[13] 毕 钊, 王永胜, 邱鹏飞. 2024版NCCN乳腺癌临床实践指南更新解读[J]. 中国肿瘤外科杂志, 2024, 16(5): 417-422.
BI Z, WANG Y S, QIU P F. Update and interpretation of NCCN clinical practice guidelines for breast cancer in 2024 edition[J]. Chin J Surg Oncol, 2024, 16(5): 417-422.
[14] 杨成林, 李建彬, 王 玮. 乳腺癌术后放疗与全身系统治疗的顺序选择[J]. 中华放射医学与防护杂志, 2021, 41(10): 790-795.
YANG C L, LI J B, WANG W. Sequence selection of postoperative radiotherapy and systemic treatment for breast cancer patients[J]. Chin J Radiol Med Prot, 2021, 41(10): 790-795.
[15] 毕 钊, 王永胜. 1~2枚前哨淋巴结阳性早期乳腺癌患者治疗策略降阶梯新理念[J]. 中国癌症杂志, 2023, 33(6): 560-565.
BI Z, WANG Y S. New concept of de-escalation management strategy in breast cancer patients with 1-2 positive sentinel lymph nodes[J]. China Oncol, 2023, 33(6): 560-565.
[16] SÁVOLT Á, PÉLEY G, POLGÁR C, et al. Eight-year follow up result of the OTOASOR trial: the optimal treatment of the axilla-surgery or radiotherapy after positive sentinel lymph node biopsy in early-stage breast cancer a randomized, single centre, phase Ⅲ, non-inferiority trial[J]. Eur J Surg Oncol EJSO, 2017, 43(4): 672-679.
[17] KIM B K, PARK B W, HUR M H, et al. Omission of axillary lymph node disp in patients who underwent total mastectomy with 1 or 2 metastatic lymph nodes[J]. Ann Surg Treat Res, 2020, 98(6): 283-290.
[18] GAO W Q, LU S S, ZENG Y F, et al. Axilla lymph node disp can be safely omitted in patients with 1-2 positive sentinel nodes receiving mastectomy: a large multi-institutional study and a systemic meta-analysis[J]. Breast Cancer Res Treat, 2022, 196(1): 129-141.
[19] FITZSULLIVAN E, BASSETT R L, KUERER H M, et al. Outcomes of sentinel lymph node-positive breast cancer patients treated with mastectomy without axillary therapy[J]. Ann Surg Oncol, 2017, 24(3): 652-659.
[20] TINTERRI C, GENTILE D, GATZEMEIER W, et al. Preservation of axillary lymph nodes compared with complete disp in T1-2 breast cancer patients presenting one or two metastatic sentinel lymph nodes: the SINODAR ONE multicenter randomized clinical trial[J]. Ann Surg Oncol, 2022, 29(9): 5732-5744.
[21] GOYAL A, BRUCE MANN G, FALLOWFIELD L, et al. POSNOC-positive sentinel node: adjuvant therapy alone versus adjuvant therapy plus clearance or axillary radiotherapy: a randomised controlled trial of axillary treatment in women with early-stage breast cancer who have metastases in one or two sentinel nodes[J]. BMJ Open, 2021, 11(12): e054365.
[22] WHELAN T J, OLIVOTTO I A, PARULEKAR W R, et al. Regional nodal irradiation in early-stage breast cancer[J]. N Engl J Med, 2015, 373(4): 307-316.
[23] POORTMANS P M, WELTENS C, FORTPIED C, et al. Internal mammary and medial supraclavicular lymph node chain irradiation in stage Ⅰ–Ⅲ breast cancer (EORTC 22922/10925): 15-year results of a randomised, phase 3 trial[J]. Lancet Oncol, 2020, 21(12): 1602-1610.
[24] EBCTCG (Early Breast Cancer Trialists’ Collaborative Group). Effect of radiotherapy after mastectomy and axillary surgery on 10-year recurrence and 20-year breast cancer mortality: meta-analysis of individual patient data for 8 135 women in 22 randomised trials[J]. Lancet, 2014, 383(9935): 2127-2135.
[25] ALKNER S, DE BONIFACE J, LUNDSTEDT D, et al. Protocol for the T-REX-trial: tailored regional external beam radiotherapy in clinically node-negative breast cancer patients with 1-2 sentinel node macrometastases-an open, multicentre, randomised non-inferiority phase 3 trial[J]. BMJ Open, 2023, 13(9): e075543.
[26] SIT D, LALANI N, CHAN E, et al. Association between regional nodal irradiation and breast cancer recurrence-free interval for patients with low-risk, node-positive breast cancer[J]. Int J Radiat Oncol Biol Phys, 2022, 112(4): 861-869.
[27] 焦得闯, 朱久俊, 乔江华, 等. 前哨淋巴结1~2枚转移的早期乳腺癌患者非前哨淋巴结转移状态分析[J]. 中华普通外科杂志, 2018, 33(7): 571-574.
JIAO D C, ZHU J J, QIAO J H, et al. Nonsentinel lymph nodal status in 1-2 sentinel lymph node positive early breast cancer patients[J]. Chin J Gen Surg, 2018, 33(7): 571-574.
[28] YANG Z B, LAN X W, HUANG Z, et al. Development and external validation of a nomogram to predict four or more positive nodes in breast cancer patients with one to three positive sentinel lymph nodes[J]. Breast, 2020, 53: 143-151.
[29] SPECHT M C, KATTAN M W, GONEN M, et al. Predicting nonsentinel node status after positive sentinel lymph biopsy for breast cancer: clinicians versus nomogram[J]. Ann Surg Oncol, 2005, 12(8): 654-659.
[30] VAN ZEE K J, MANASSEH D E, BEVILACQUA J L B, et al. A nomogram for predicting the likelihood of additional nodal metastases in breast cancer patients with a positive sentinel node biopsy[J]. Ann Surg Oncol, 2003, 10(10): 1140-1151.
