在肿瘤诊疗的博弈中,医生手中的手术刀和处方签决定了治疗的“厚度”,而患者内心的恐惧与期待却决定了生命的“温度”。对于ALK阳性非小细胞肺癌(NSCLC)患者而言,这种认知的落差往往在“生存期”与“脑转移”之间拉锯。近期,来自杜克癌症研究所等机构的研究团队在《Lung Cancer》杂志上发表了一项震撼人心的研究,利用离散选择实验(DCE)将这种医患之间的“价值错位”进行了量化拆解。MedFind作为致力于打破信息差的平台,今天将为您深度解读这项研究,并带您看透治疗背后的真实逻辑。
钻石突变的背面:ALK阳性肺癌与脑转移的阴影
ALK突变常被称为“钻石突变”,因为针对该靶点的靶向药物如阿来替尼(Alectinib)和洛拉替尼(Lorlatinib)等,展现出了远超传统化疗的超长生存获益。然而,这种幸运的背后隐藏着一个巨大的挑战:高度的脑转移倾向。
统计数据显示,约23%至35%的ALK阳性患者在初次确诊时就已经出现了脑转移。更令人揪心的是,即使起初没有脑转移,在接受一代抑制剂如克唑替尼(Crizotinib)治疗的过程中,约有一半的患者最终会发生中枢神经系统(CNS)转移。这是因为大脑表面存在一道“血脑屏障”,普通的药物分子难以穿透。对于年轻、甚至从不吸烟的ALK阳性患者来说,脑转移不仅意味着病情进展,更意味着可能失去驾驶、工作甚至识记家人的能力。这正是本研究探讨的核心出发点:当医生在关注数据上的生存期(PFS)时,患者可能正在为“大脑的沦陷”而焦虑。
深度拆解:DCE实验如何捕捉“隐形偏好”?
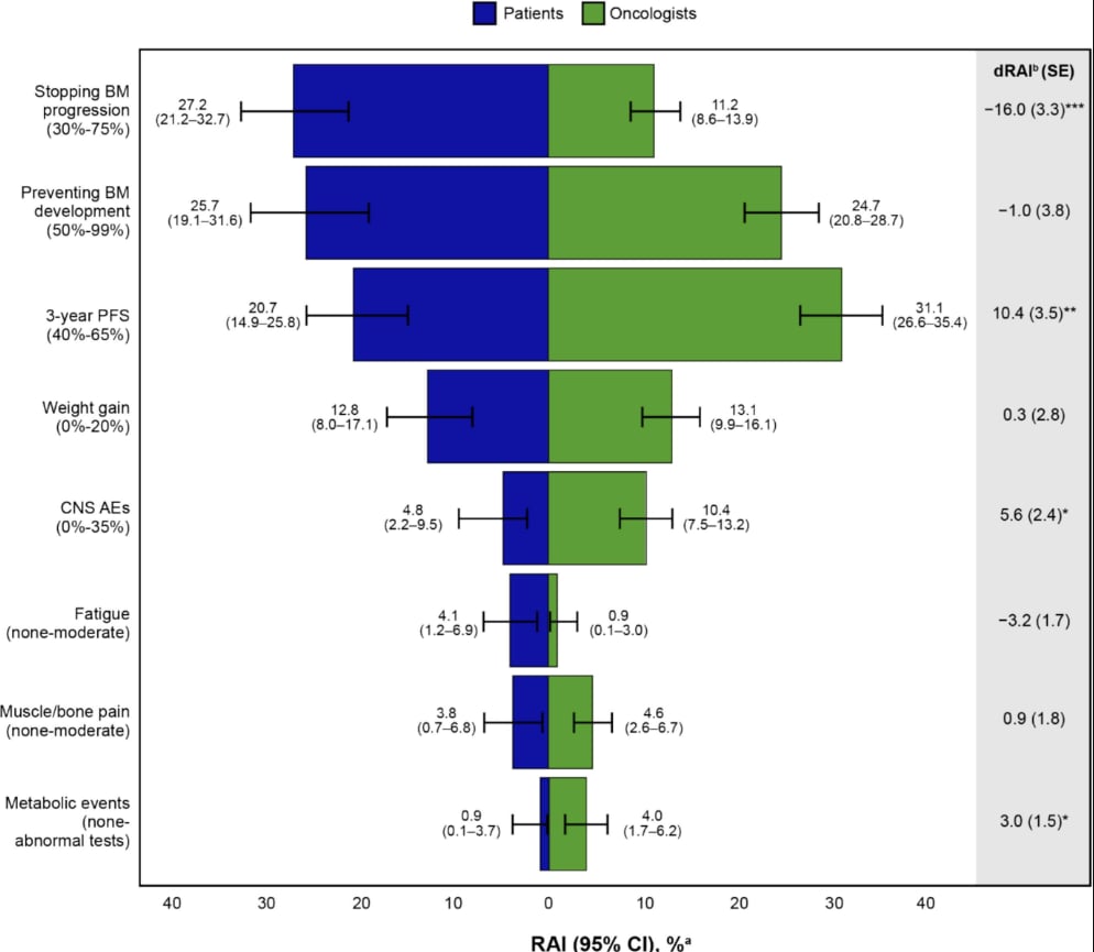
传统的问卷调查往往只能得到“我想要长生存”这样宽泛的回答。而这项研究采用了离散选择实验(DCE)。这种方法通过让151位患者和150位肿瘤医生在多组复杂的治疗方案中进行“二选一”甚至“三选一”,通过他们的每一次“忍痛割爱”,反推出各个治疗维度在他们心目中的真实分量。

研究设定了8个关键属性,包括3个疗效指标(3年PFS、预防脑转移发生、阻止现有脑转移进展)和5个副作用指标。这种严密的逻辑设计,第一次让医患之间的“频道差异”无所遁形。
核心分歧:生存获益 vs 脑部控制
研究结果显示,医患双方在“疗效至上”的大方向上达成了一致,但内部的优先级却完全不同。医生最看重的是“3年PFS改善”,权重高达31.1%。在医生的视角下,让患者活得更久、疾病不进展是至高无上的目标。然而,在患者眼中,这一项仅排在第三位。

患者最看重的是“阻止现有脑转移进展”(权重27.2%),紧随其后的是“预防脑转移发生”。换句话说,对于患者而言,保护大脑的完整性比单纯延长生存时间更具迫切感。这种差异反映了深刻的心理动因:医生关注的是“客观的生存”,而患者关注的是“有尊严的生存”。
亚组分析:经历决定恐惧
研究还揭示了一个扎心的规律:患者经历过什么,就更在意什么。已经出现脑转移并接受过治疗的患者,对“阻止进展”的渴望是初治患者的两倍。而50岁以下的年轻患者,对脑转移的恐惧远超PFS,因为他们需要长期维持社会功能,无法接受大脑受损带来的生活瘫痪。这种个性化的需求,往往是传统“一刀切”治疗方案所忽略的。

副作用的博弈:CNS风险与乏力的权衡
除了疗效,在副作用的容忍度上,医患也存在分歧。医生高度警惕中枢神经系统(CNS)副作用,如洛拉替尼可能带来的情绪波动、言语困难或幻觉。然而,患者对这类副作用表现出了惊人的“宽容”。
研究者分析认为,这可能是因为患者产生了一种认知补偿:他们认为如果药物产生了CNS副作用,说明药物已经成功穿透血脑屏障,正在大脑内“奋力杀敌”。相比之下,患者对“乏力”这种影响日常生活的副作用更为敏感。这一发现提醒我们,在进行药物获益风险评估时,必须考虑患者的真实生活体感。
拨开云雾:如何选择最适合的“入脑”药物?
基于这项研究,我们必须重新审视当前的ALK靶向药物梯队。目前,三代药物洛拉替尼在控制脑转移方面展现出了极强的统治力。在CROWN研究中,其入脑活性极高,对于基线有脑转移的患者,颅内缓解率(IC-ORR)表现惊人。
然而,正如DCE研究所揭示的,没有完美的药物,只有最匹配的方案。阿来替尼以其卓越的安全性、较低的CNS副作用风险,成为了许多追求平衡的医生和患者的首选。而对于追求极致脑部控制、甚至在二代药物耐药后的患者,洛拉替尼则是不可替代的“杀手锏”。此外,布格替尼(Brigatinib)和国产新药恩沙替尼(Ensartinib)也在脑转移控制上各具优势。
致患者:如何打破认知差,争取最佳治疗?
这项研究最重要的意义,是给了患者一个“发声”的武器。当您坐在诊室面对医生时,不应只是被动地接受处方。您可以尝试以下策略:
- 明确告知您的偏好:如果您对脑转移有极度的恐惧,或者您必须维持高强度的脑力工作,请务必告诉医生,这会直接影响药物的选择。
- 关注入脑能力:询问医生,目前推荐的药物在穿透血脑屏障方面的临床数据如何?
- 动态监测:无论使用哪种药物,定期的脑部增强核磁(MRI)是必不可少的。
MedFind深知患者在面对高昂药价或前沿药物获取困难时的无助。我们通过专业的AI辅助解读,帮助您理清这些复杂的临床数据;同时,我们的“跨境直邮”服务致力于为患者链接全球最新的抗癌资讯与药物渠道,确保您在与病魔的时间竞赛中,不因信息差而落后。
结语
医学不仅是科学,更是人学。PFS是一个冰冷的数字,而“脑转移”背后是无数家庭的重担。希望每一位患者都能在医生的专业指导下,结合自身的真实偏好,选出那款最适合自己的“救命药”。记住,您不仅要活得久,更要活得清醒、活得精彩。MedFind将始终与您同行,为您守护每一份生存的希望。
参考文献:
Le H, Coulter J, et al. Patient and oncologist preferences for ALK+ advanced non-small cell lung cancer tyrosine kinase inhibitor treatments: a discrete choice experiment in the United States. Lung Cancer. 2026 Jan;211:108850.
