引言
长久以来,医学界对急性髓系白血病(AML)的缓解评估一直沿用着数十年前制定的标准。然而,随着检测技术的进步,尤其是微小残留病(MRD)监测的普及,传统标准的局限性日益明显。对于生物学特征独特的儿童AML患者而言,建立更精准的缓解评估体系至关重要。近期,一项发表于EClinicalMedicine的重磅研究为此带来了新希望。
研究背景:传统缓解标准的局限性
自1990年以来,完全缓解(CR)一直是评估AML治疗效果的金标准。但该标准主要基于形态学观察,无法精确反映体内微小的肿瘤负荷。对于儿童AML患者,传统的CR定义已难以满足精准治疗的需求,迫切需要一种更能反映真实病情的评估方法。
德国AML-BFM研究团队提出了一种新的、更简化的缓解标准——无白血病证据(No evidence of leukaemia, NEL),其定义为骨髓中原始细胞比例低于5%。该研究旨在验证NEL标准是否能比传统CR标准更有效地评估儿童AML的治疗反应和预测长期预后。

研究核心发现:NEL/EL分类法的优势
这项多中心分析纳入了2004年至2021年间确诊的1094名儿童AML患者数据。研究人员在诱导治疗后和强化治疗前的不同时间点,分别使用新的NEL/EL(有白血病证据)分类法和传统的CR/no-CR(未达完全缓解)分类法对患者进行分组比较。
结果显示,在第二次诱导治疗后(tp2),高达92%(1007例)的患者达到了NEL标准,而仅有8%(87例)的患者被归为EL组。这表明,NEL/EL分类法能够更清晰地将绝大多数治疗反应良好的患者区分开来,简化了评估流程。

患者分组流程(NEL/EL vs. CR/no-CR)。
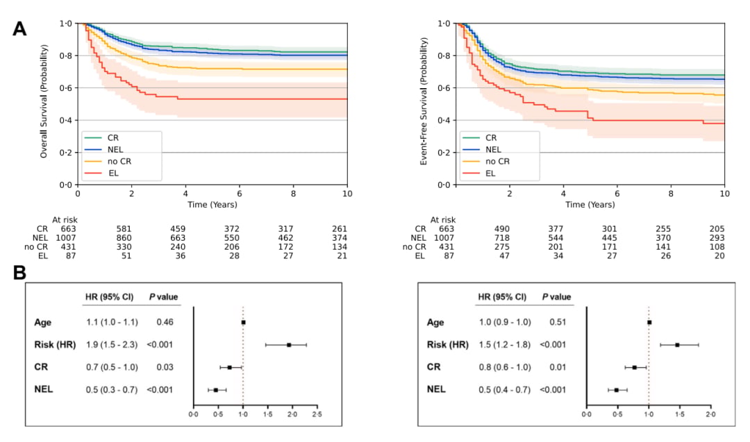
生存率分析:NEL标准更具预测价值
生存率数据是衡量缓解标准有效性的关键。研究发现,在tp2时间点:
- 达到NEL标准的患者与达到传统CR标准的患者,其10年总生存期(OS)和无事件生存期(EFS)并无显著差异(OS: 80.2% vs 82.3%;EFS: 65.7% vs 68.2%)。这说明NEL标准至少和CR标准一样有效。
- 更重要的是,被划分为EL(有白血病证据)的患者,其生存率显著低于no-CR组(10年OS: 53.1% vs 71.6%;10年EFS: 37.6% vs 56.0%)。
多变量分析进一步证实,NEL是预测更优总生存期和无事件生存期的最强独立预后因素。与传统的CR/no-CR分类相比,NEL/EL分类能够更明确地区分出预后良好和预后极差的患者群体,其预测价值更为突出。

tp2时NEL与CR组的生存率对比(Kaplan-Meier曲线)。
对临床实践的启示
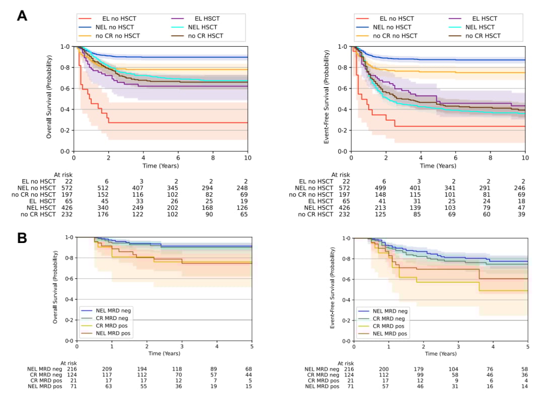
这项研究结果对儿童AML的临床治疗具有重要指导意义。对于诱导治疗后仍处于EL状态的患者,其预后最差,但研究发现造血干细胞移植(HSCT)能显著改善这部分患者的生存率(10年OS: 62.1% vs 27.3%)。这为高危患者的后续治疗决策提供了强有力的数据支持。
此外,当NEL/EL分类与基于RT-qPCR的MRD监测相结合时,其对预后的预测能力能够得到进一步提升,从而实现更精准的风险分层和个体化治疗。

A. HSCT对EL患者的生存改善效果。 B. 基于RQ-PCR的MRD分层分析。
结论
总而言之,这项研究提出的简化的NEL/EL分类法,为儿童急性髓系白血病的治疗反应评估提供了一个更精确、更具预后价值的新标准。它不仅有助于优化未来临床试验的设计,也为临床医生制定更精准的治疗策略提供了可靠依据,有望成为未来儿童AML管理的核心指标之一。
