乳腺癌化疗的“生命通道”:PICC与输液港,您了解多少?
对于正在与乳腺癌抗争的患者朋友们来说,化疗无疑是治疗过程中至关重要的一环。然而,长期、反复的化疗药物输注,往往会对患者的血管造成不小的损伤,甚至导致外周静脉硬化、闭塞,让每次输液都成为一场“扎针大战”。为了解决这个难题,确保化疗药物能够安全、顺畅地进入体内,临床上通常会建议患者建立一条“生命通道”——中心静脉通路。
目前,最常用的两种中心静脉通路装置是经外周静脉穿刺中心静脉导管(PICC)和完全植入式输液港(Port-A)。它们就像是为化疗专门铺设的“高速公路”,能够有效保护患者的血管,减少穿刺痛苦。但面对这两种选择,许多患者和家属常常感到困惑:它们有什么区别?哪种更适合我?费用、风险和日常护理又该如何权衡?
为了帮助大家拨开迷雾,做出最适合自己的选择,我们特别解读了复旦大学等机构发表在《国际护理研究杂志》(International Journal of Nursing Studies)上的一项重要研究。这项研究通过严谨的科学方法,深入挖掘了乳腺癌患者在选择PICC和输液港时最真实的内心偏好。接下来,我们将带您一起了解这项研究的发现,并结合实际情况,为您提供专业的建议。
为什么需要“生命通道”?长期化疗对血管的挑战
化疗药物通常具有较强的刺激性,如果长期通过手臂上的细小静脉(外周静脉)进行输注,很容易引起血管内膜损伤、炎症、硬化甚至栓塞。这不仅会增加患者的痛苦,导致“无血管可用”的困境,还可能影响化疗的顺利进行。因此,建立一条直达心脏附近大血管的中心静脉通路,能够有效稀释药物浓度,减少对血管的刺激,保障化疗的顺利完成。
什么是PICC?外露的“生命线”
PICC,全称“经外周静脉穿刺中心静脉导管”,顾名思义,它是一根细长的导管,通常从患者手臂的肘部或上臂静脉穿刺置入,导管的末端一直延伸到心脏附近的大静脉。PICC的特点是:
- 置入简单:通常在门诊即可完成,无需手术,创伤小。
- 部分外露:导管的一部分会留在手臂外,需要用敷料覆盖保护。
- 维护频繁:为了防止感染和堵塞,PICC通常需要每周进行一次专业的冲管和换药,这意味着患者需要频繁往返医院。
- 费用相对较低:置入和维护费用通常低于输液港。
- 可能影响生活:外露的导管可能会限制部分日常活动,如洗澡、游泳等。
什么是输液港?隐形的“生命港湾”
输液港,全称“完全植入式输液港”,与PICC不同,它是一个完全埋置在患者皮下的输液装置。它由一个埋在胸前皮下的小型座(通常是钛合金或塑料材质)和一根连接到大静脉的导管组成。输液时,医护人员会用一根特制的无损伤针头穿刺皮肤,直接进入输液港的座内进行输液。输液港的特点是:
- 置入需小手术:需要在局部麻醉下进行一个小手术,将装置埋入皮下。
- 完全隐蔽:装置完全在皮下,外观上几乎看不出来,不影响日常活动,如洗澡、游泳等。
- 维护简单:通常每月只需维护一次,大大减少了患者往返医院的次数。
- 费用相对较高:置入和维护费用通常高于PICC。
- 美观舒适:不影响患者的形象和生活质量。
PICC与输液港的优劣对比
| 特点 | PICC(经外周静脉穿刺中心静脉导管) | 输液港(完全植入式输液港) |
|---|---|---|
| 置入方式 | 手臂静脉穿刺,门诊操作 | 胸前皮下小手术 |
| 是否外露 | 部分导管外露 | 完全埋置皮下,不外露 |
| 日常活动 | 可能受限(如洗澡、游泳) | 基本不受限 |
| 维护频率 | 每周1次冲管换药 | 每月1次冲管维护 |
| 感染风险 | 相对较高(外露部分) | 相对较低(完全埋置) |
| 血栓风险 | 存在,需注意 | 存在,需注意 |
| 费用 | 置入及维护费用相对较低 | 置入及维护费用相对较高 |
| 美观度 | 有外露导管 | 无外露,更美观 |
揭秘患者最真实的“内心选择”:复旦大学研究深度解读
在过去,PICC和输液港的选择往往依赖于医生的经验和患者粗略的意愿。但究竟患者自己最看重什么?是费用、是日常的便利性,还是并发症的风险?为了科学地回答这个问题,复旦大学的研究团队引入了一种先进的研究方法——离散选择实验(Discrete Choice Experiment, DCE)。
什么是“离散选择实验”(DCE)?量化您的“小九九”
想象一下,您正在网上“模拟购物”,面前有两款配置不同、价格各异的手机,您会选择哪一款?DCE的原理与之类似。它通过设计一系列虚拟的“选择任务”,让参与者在不同属性(如费用、维护频率、风险等)组合的方案中进行选择。通过分析大量的选择数据,研究者就能量化出每个属性对患者决策的影响力,甚至计算出患者为了获得某个特定改善,愿意多支付多少钱。
这项研究正是利用DCE,在中国东、中、西部三家大型医院,招募了573名正在接受化疗的乳腺癌患者。研究者们通过文献回顾和专家咨询,确定了影响患者选择的6个核心“属性”:
- 自付费用:从4000元到10000元不等。
- 日常活动限制:有或无。
- 导管维护频率:每月1次或每月4次。
- 导管相关血栓风险:2%、5%、8%、10%。
- 导管相关感染风险:2%、4%、6%、8%。
- 切口大小:0.5厘米或2厘米。
每位患者需要完成8组这样的“模拟选择”,例如:方案A(费用低但每月维护4次)与方案B(费用高但每月维护1次且感染风险低),然后选择自己更倾向的方案。通过这种方式,研究团队成功地将患者内心模糊的“小九九”转化为了清晰、可量化的数据。
患者最在乎的“三大核心因素”及“支付意愿”
数据分析结果清晰地揭示了乳腺癌患者群体在选择“生命通道”时的集体偏好。研究发现,患者最在乎的,并非仅仅是价格,而是“省心”和“安全”!
1. 维护频率:省心是王道!患者愿多付近1.2万元
研究结果显示,维护频率是患者最看重的因素。患者强烈偏好每月只需维护1次(输液港的特点)而非每月4次(PICC的特点)。为了将维护频率从每月4次降低到每月1次,患者平均愿意多支付11,968元。这说明,频繁往返医院进行PICC维护,对患者来说是一个巨大的负担,无论是时间成本、交通成本还是精神压力,都让患者渴望更便捷的护理方式。对于需要长期化疗的患者而言,能够减少跑医院的次数,意味着更多的时间可以用于休息、恢复,或陪伴家人,这笔“省心费”在患者心中价值极高。
2. 血栓风险:安全第一!患者愿多付1万多元
导管相关血栓风险是患者第二大关切。血栓是中心静脉导管常见的并发症之一,可能导致导管堵塞、肢体肿胀,甚至肺栓塞等严重后果。研究发现,患者偏好血栓风险为2%而非10%的设备,为此平均愿意多支付10,754元。这充分体现了患者对治疗安全性的高度重视,宁愿多花钱也要降低潜在的严重并发症风险。
3. 感染风险:不容忽视的威胁!患者愿多付8千多元
紧随其后的是导管相关感染风险。导管感染可能导致发热、寒战,甚至全身性败血症,严重时危及生命。患者偏好感染风险为2%而非8%的设备,为此平均愿意多支付8,302元。这再次印证了患者对治疗安全性的强烈需求,他们深知感染的危害,并愿意为此承担一定的经济成本。
费用:当然越低越好,但患者愿为“价值”买单
自付费用自然是负向影响越大,费用越高,选择可能性越低。但值得注意的是,患者并非一味追求低价。当“省心”和“安全”的价值足够高时,患者是愿意为此支付更高费用的。这为医疗机构和器械厂商提供了重要的启示:提升产品和服务的便利性与安全性,是赢得患者信任和选择的关键。
相对次要因素:活动限制与切口大小
研究还发现了一些相对次要的因素:
- 日常活动限制:患者不希望日常活动受到限制,为此平均愿意支付4,321元。虽然不如前三者重要,但也反映了患者对生活质量的追求。输液港在这方面具有明显优势,因为它完全埋置在皮下,患者可以自由洗澡、游泳,几乎不受影响。
- 切口大小:出人意料的是,在本研究中,切口大小(0.5cm vs 2cm)对患者选择没有显著影响。这可能意味着,对于乳腺癌患者而言,微创美观虽然重要,但与维护频率、血栓和感染风险这些功能性和安全性因素相比,并非首要考虑。患者更关注的是治疗效果和并发症的预防。




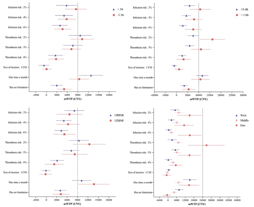
谁更愿意为“便利和安全”买单?不同患者群体的差异
这项研究还进一步分析了不同患者群体在支付意愿上的差异,这对于医疗机构提供个性化服务具有重要指导意义:
- 年轻人(<50岁):他们通常更活跃,对生活质量要求更高,因此更愿意花钱避免日常活动受限。
- 家离医院远(>1小时车程)的患者:这类患者对降低维护频率有极高的支付意愿。对他们来说,每次往返医院都是时间和金钱的双重消耗,因此更倾向于选择维护次数少的输液港。
- 拥有城镇职工医保的患者:由于报销比例通常更高,这类患者在所有属性上都表现出比城乡居民医保患者更强的支付意愿,他们更愿意为更好的医疗服务和更低的风险买单。
- 东部地区患者:相较于中西部地区,东部地区患者对降低感染和血栓风险的支付意愿最高,这可能与经济发展水平和医疗观念的差异有关。
如何根据自身情况做出最佳选择?MedFind给您的建议
这项研究为我们提供了宝贵的视角,让我们能够更深入地理解乳腺癌患者在面对PICC和输液港选择时的真实需求。它明确告诉我们,患者最核心的诉求是“减少往返医院的麻烦”和“降低严重并发症的风险”,并愿意为此承担相当的经济成本。
作为患者和家属,在做出选择时,您可以参考以下建议:
- 综合评估自身情况:
- 经济能力:PICC初期费用较低,但长期维护可能累积;输液港初期费用较高,但后期维护成本低。请结合您的医保报销政策和家庭经济状况进行考量。
- 生活习惯与活动需求:如果您希望在化疗期间保持较高的活动自由度,例如洗澡、游泳或进行轻度运动,那么输液港可能更适合您。如果PICC外露的导管对您的生活影响不大,且您能接受每周维护,PICC也是一个不错的选择。
- 对风险的承受度:虽然两种装置都有感染和血栓的风险,但输液港因其完全埋置的特性,理论上感染风险相对较低。如果您对并发症风险特别敏感,可以优先考虑输液港。
- 居住地与医院距离:如果您家离医院较远,或者出行不便,那么每月只需维护一次的输液港将大大减轻您的负担。
“以患者为中心”的医疗理念,不仅仅停留在口头上,更需要通过科学研究和实践来落地。MedFind始终致力于为癌症患者和家属提供最前沿、最实用、最人性化的抗癌资讯和药物信息。我们深知您在抗癌路上的不易,希望通过这些深度解析,能帮助您在复杂的医疗决策中,做出最明智、最符合自身利益的选择。
如果您在用药、治疗方案选择或海外购药渠道方面有任何疑问,欢迎随时咨询MedFind,我们将竭诚为您提供专业的支持和帮助,与您一同战胜病魔!
参考资料:[1]
