引言:攻克鼻咽癌远处转移的挑战
鼻咽癌(Nasopharyngeal Carcinoma, NPC)是一种在东亚及东南亚地区较为常见的恶性肿瘤。尽管放疗和化疗等综合治疗手段已显著改善了局部病灶的控制率,但远处转移仍然是导致治疗失败和患者死亡的主要原因。如何精准预测哪些患者更容易发生远处转移,并提前进行干预,是当前临床面临的重大挑战。近期,一项发表于《Frontiers in Immunology》的重磅研究为我们带来了新思路。该研究基于超过1800例中国患者的临床数据,利用机器学习技术成功开发出一个能够有效预测鼻咽癌远处转移风险的模型。
研究方法与数据来源
研究团队回顾性分析了1845名在复旦大学附属眼耳鼻喉科医院接受治疗的鼻咽癌患者的详细临床资料。这些数据涵盖了患者的人口学特征、肿瘤分期(TNM分期)、实验室指标(如LDH、淋巴细胞计数)、EB病毒感染状态以及接受的治疗方案(包括靶向治疗和免疫治疗)。
研究人员运用了逻辑回归(LR)、随机森林(RF)等七种不同的机器学习算法,对这些数据进行深度挖掘和建模,旨在筛选出与远处转移最相关的关键因素,并构建一个准确、可靠的预测工具。


影响鼻咽癌远处转移的关键因素
通过复杂的模型分析,研究不仅验证了一些已知的风险因素,还揭示了几个重要的保护性因素,这对于指导治疗选择具有非凡的意义。
增加转移风险的因素
- 肿瘤分期:结果再次证实,肿瘤分期是影响预后的核心指标。T分期(T3/4)和N分期(N2/3)越晚,发生远处转移的风险越高。
- EB病毒感染:EB病毒阳性的患者,其远处转移风险是阴性患者的3.66倍,凸显了病毒状态在疾病进展中的重要作用。
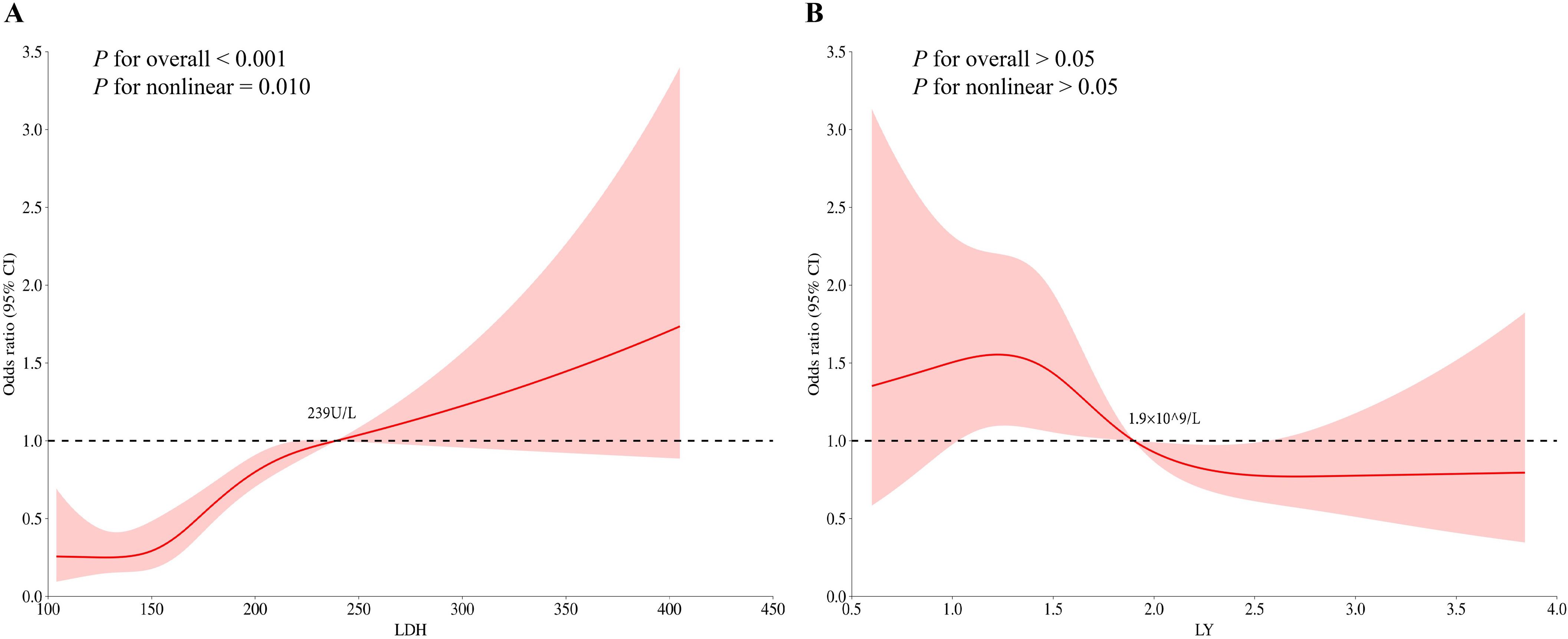
- 乳酸脱氢酶(LDH)水平:LDH是反映肿瘤负荷和代谢活跃度的指标。研究发现,当LDH水平超过239 U/L时,转移风险会显著上升。


降低转移风险的保护性因素
- 靶向治疗与免疫治疗:这是本次研究中最令人振奋的发现之一。数据显示,接受靶向治疗的患者远处转移风险降低了约72%(OR=0.28),而接受免疫治疗(如PD-1/PD-L1抑制剂)的患者风险更是大幅降低了95%(OR=0.05)。这为靶向和免疫药物在鼻咽癌治疗中的应用提供了强有力的证据。
- 高血压:一个出人意料的发现是,合并高血压的患者其远处转移风险反而更低。研究人员推测,这可能与某些降压药的潜在抗肿瘤机制有关,为未来的研究开辟了新方向。
- 淋巴细胞计数:较高的淋巴细胞计数与较低的转移风险相关,这与免疫系统在抑制肿瘤扩散中的作用相符。

预测模型的价值与临床应用
在七种机器学习算法中,逻辑回归模型表现最佳,其在测试集中的准确性(AUC)高达0.8499,显示出优秀的区分能力。基于此模型,研究人员开发了一个可视化的列线图工具,能够帮助医生在临床实践中,通过输入患者的T/N分期、EB病毒状态、LDH水平以及是否接受靶向/免疫治疗等几项简单指标,快速、量化地评估其未来发生远处转移的概率。

对鼻咽癌患者的启示
这项研究成果对于鼻咽癌患者及其医生而言,具有重要的指导意义:
- 精准识别高危人群:通过该模型,可以更早期、更准确地识别出具有高转移风险的患者,从而对他们进行更密切的监测和更积极的干预。
- 优化治疗决策:研究明确了靶向治疗和免疫治疗在预防远处转移中的关键保护作用。这提示对于高风险患者,及时联合这些先进的治疗手段可能带来更大的生存获益。
- 推动个体化治疗:该模型是迈向鼻咽癌精准医疗的重要一步,有助于医生根据每位患者的具体风险状况,量身定制最合适的治疗与随访方案,最终实现生存质量和时间的双重提升。
尽管该研究为单中心回顾性研究,存在一定局限性,但其创新的方法和清晰的结论,无疑为改善鼻咽癌患者的预后管理提供了强大的新工具和深刻的临床见解。
