结直肠癌,作为全球范围内常见的恶性肿瘤,其肝脏转移是导致患者死亡的主要原因之一。约20%-30%的结直肠癌患者在初次诊断时便已伴有同步肝转移,这类病例往往预后凶险。尽管同步切除原发肿瘤及肝转移灶已成为许多患者的有效治疗选择,能有效降低治疗费用、减轻痛苦并缩短辅助治疗窗口,但并非所有患者都能从中长期获益。部分患者术后生存期短,复发迅速,因此,如何精准预测患者术后预后并进行动态风险评估,一直是临床管理中的核心难题。

突破传统:动态实验室指标赋能结直肠癌肝转移预后预测
近期,一项发表于JAMA子刊的创新性研究,为结直肠癌肝转移(CRLM)患者的术后预后评估带来了新突破。该研究将多项动态监测的实验室指标与先进的统计学方法相结合,构建了一个基于功能性随机生存森林的动态预后模型。与传统仅依赖单时点临床病理特征或术前指标的静态模型相比,这一新模型在预测患者生存期方面展现出显著优势,为结直肠癌肝转移的精准治疗提供了更可靠的依据。
研究团队纳入了2014年至2021年间来自三家独立癌症中心的976例接受同步切除的CRLM患者。研究人员详细收集了18项临床病理特征以及9项关键实验室指标,包括重要的肿瘤标志物CEA和CA19-9,以及非肿瘤指标如GGT、RDW-SD、RDW-CV、APRI、FIB-4、S指数和NLR。这些指标在患者术前及术后12个月内进行了多次测量,为动态评估提供了丰富的数据支持。

图:研究流程图
模型构建与验证:动态模型表现卓越
为评估不同模型的预测能力,研究采用了多变量功能主成分分析(MFPC)结合随机生存森林(RSF)方法,构建了三种预后模型:
- 模型A:仅纳入临床病理特征。
- 模型B:结合临床病理特征与术前实验室指标。
- 模型C:融合临床病理特征与动态长期实验室指标。
通过重复5折交叉验证和外部独立队列验证,研究团队对模型在无进展生存期(PFS)和总体生存期(OS)预测中的表现进行了严格评估,主要指标包括ROC曲线下面积(AUC)和Brier评分(BS)。
结果令人鼓舞。在外部验证队列中,模型C的表现显著优于模型A和B。在预测1年PFS方面,模型C的AUC高达0.796(95%CI 0.740-0.848),而3年和5年PFS的AUC分别达到0.837和0.850,且Brier评分最低,这表明其预测准确度最高。在OS预测方面,模型C同样表现出色,1年、3年和5年的AUC分别为0.849、0.741和0.753,均超越其他模型。此外,模型C在预测术后早期复发方面也展现出突出能力,AUC达到0.791。

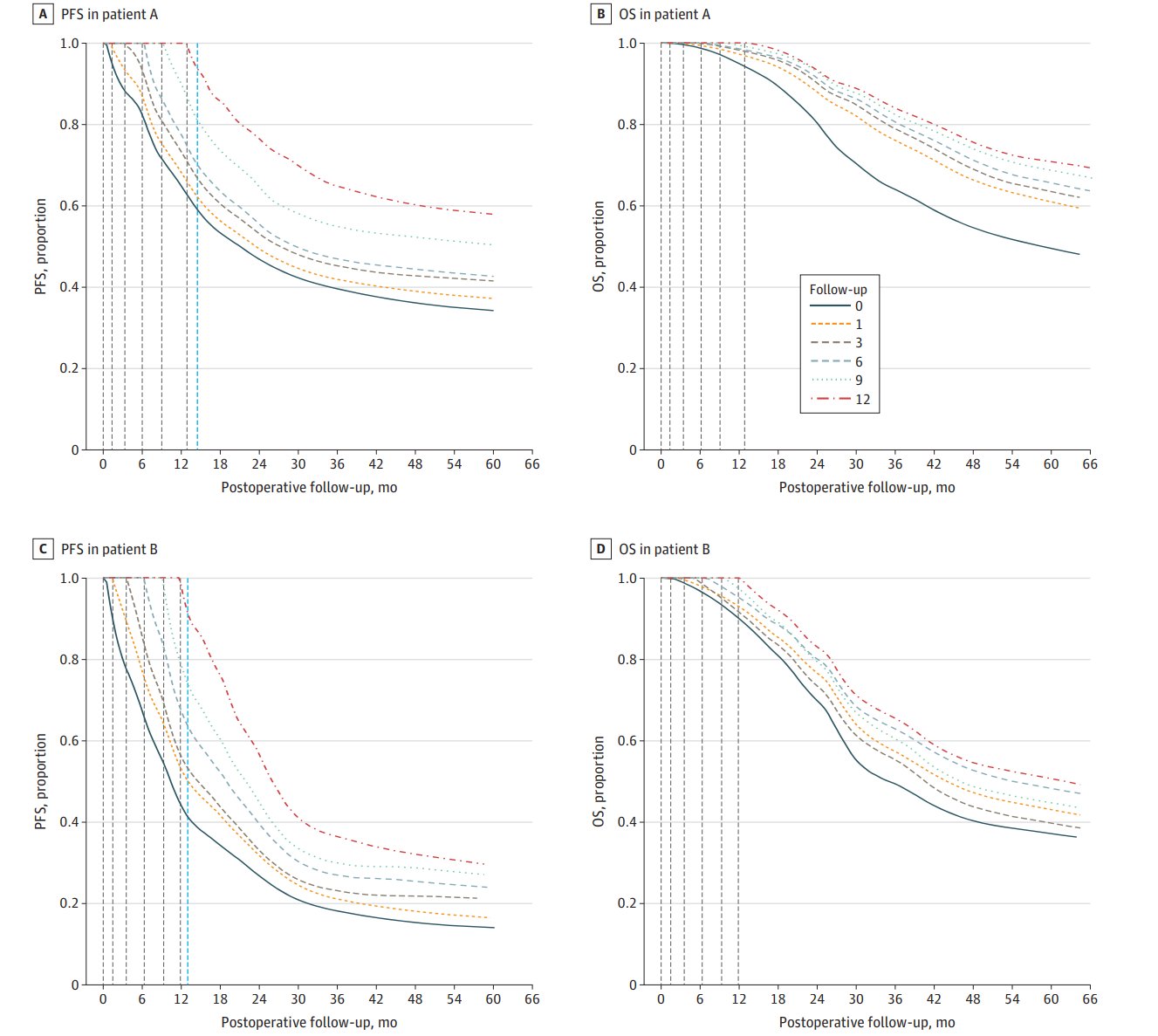
图:对模型A和B的PFS和OS风险特征进行个体化动态预测
实时风险评估与个体化治疗策略
这项研究的另一大亮点在于其动态更新的个体风险预测功能。随着随访时间的延长和新增实验室数据的纳入,患者的风险评估能够实时调整,为临床医生提供更灵活、更准确的决策支持。研究团队还为此开发了一个基于Web的在线工具,方便临床医生输入患者的基础信息和最新实验室数据,即时获取个性化的无进展生存和整体生存风险预测,从而更好地指导结直肠癌患者的个体化治疗和随访策略。
总之,这项研究通过创新性地利用多项长期动态实验室指标,结合先进的统计和机器学习方法,成功构建了CRLM患者术后预后动态评估模型,显著提升了预后预测的准确性和实用性。开发的网络工具为临床提供了便捷、实时的风险评估手段,有助于实现个体化治疗和随访策略调整,最终提升患者管理水平。
对于寻求最新癌症治疗方案的患者,了解此类前沿研究至关重要。如果您正在寻找海外靶向药,可以访问MedFind的购药服务获取更多信息。此外,面对复杂的病情,专业的AI问诊服务也能提供初步的个性化指导。我们还提供丰富的药物信息、诊疗指南等抗癌资讯,帮助患者和家属做出明智的决策。
原始出处
Chen Q, Deng Y, Wang K, et al. Dynamic Prognostic Models for Colorectal Cancer With Liver Metastases. JAMA Netw Open. 2025;8(8):e2529093. Published 2025 Aug 1. doi:10.1001/jamanetworkopen.2025.29093
