癌症报告中庞大的数据背后是一个个鲜活的生命,提高公众癌症认知,呼吁健康生活,定期体检,才能从根源上降低癌症发病率。养成良好的生活习惯,不肥胖,不熬夜,常运动,保持一个好心情!
2023年1月12日,全球医学神刊《临床医师癌症杂志》在线发表《2023年度癌症报告》(Cancer Statistics 2023):从1991年的峰值到最近的2020年,男性和女性的癌症死亡率总和下降了33%,癌症死亡人数的减少避免了大约380万人的死亡!(每年疾病控制与预防中心,北美中央癌症登记中心协会,美国癌症协会和美国国家癌症研究所都会联合发布《国家癌症数据年度报告》,提供美国癌症发生率和死亡率的数据更新)
新冠病毒(COVID-19)大流行造成的医疗机构关闭、失业、保险中断以及怕感染新冠会导致癌症诊断和治疗的延迟。尽管影响最大的2020年COVID-19高峰期已过,但医疗保健的提供尚未完全恢复。
Cancer Statistics 2023 预计了2023年美国新发癌症病例和死亡人数数量,以及基于癌症发病率和死亡率的最新人群数据对癌症发生的全面概述。
–01–
总的来说,美国2023年预计出现1958310例新癌症病例,相当于每天5370例。预计,癌症死亡人数609820人,相当于每天死亡1670人。
对男性而言,前十大患病率最高的肿瘤依次是前列腺癌、肺癌、结直肠癌、膀胱癌、皮肤黑色素瘤、肾癌、非霍金奇淋巴瘤、口腔癌、白血病和胰腺癌。其中前列腺癌最多,约占比29%。
对女性而言,前十大患病率最高的肿瘤依次是乳腺癌、肺癌、结直肠癌、宫颈癌、皮肤黑色素瘤、非霍金奇淋巴瘤、甲状腺肿瘤、胰腺癌、肾癌、和白血病。其中乳腺癌最多,约占比31%。
肺癌是第一致死癌症。数据显示,每天约有350人死于肺癌,几乎是第二大致死癌种(结直肠癌)死亡人数的2.5倍。2023年,在127070例肺癌死亡病例中,约有103000例癌症将由直接吸烟导致,3560例癌症由二手烟导致。
2023年美国估计新癌症病例十大主要癌症类型
–02–
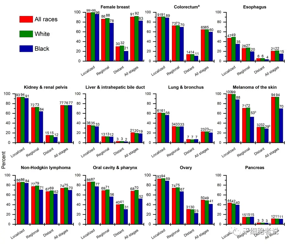
20世纪70年代中期,癌症的五年相对生存率仅为49%,2012年-2018年癌症的五年相对生存率增加到68%。
根据种族和诊断阶段,研究人员细化了各种癌症的五年相对生存率,可以看到除了胰腺癌和肾癌生存率相似外,每种癌种中黑人的五年生存率都低于白人。从绝对意义上讲,黑人和白人之间生存差异最大的癌症依次是黑色素瘤(24%)、宫颈癌(20%)、口腔和咽部癌(18%)、膀胱癌(13%)。

总的来看,目前生存率最高的癌种是甲状腺癌(98%)、前列腺癌(97%)、睾丸癌(95%)和黑色素瘤癌(94%),生存率最低的是胰腺癌(12%)、肝癌和食道癌(21%)。
–03–
一般而言,死亡率是比发病率或存活率更好的抗癌进展指标,因为死亡率较少受到检测实践变化带来的偏差的影响。
在20世纪里,癌症死亡率上升,主要原因是烟草流行导致男性肺癌死亡人数迅速增加。然而,由于吸烟的减少,以及癌症的早期发现和治疗的改善,自1991年达峰值后,癌症死亡率持续下降。
到2020年,肺癌死亡率下降至33%,这意味着与死亡率峰值时相比,肺癌死亡人数估计减少3820800人。总体而言,男性肺癌死亡率从1990年至2020年下降了58%,女性从2002年至2020年下降了36%。
第二大致死癌种直肠癌的死亡率也持续下降。自1980年以来,男性结直肠癌的死亡率下降了55%,自1969年以来,女性结直肠癌死亡率下降了61%。

–04–
2020年,美国共记录3383729例癌症死亡病例,比2019年增加了528891例死亡病例, COVID-19感染占引起死亡增长的2/3的根本原因。
2020年,癌症因素占总死亡人数的18%,是仅次于心脏病的第二大死原。乳腺癌,是40-79岁女性和60-79岁男性死亡的主要原因,脑瘤和神经系统肿瘤是20岁以下儿童青少年癌症死亡的主要原因。
在20-39岁的男性中,结直肠癌已超过脑瘤,是20-49岁男性癌症死亡的主要原因,而在同年龄组的女性中,乳腺癌则是主要死亡原因。值得注意的是,黑人女性与白人女性相比,乳腺癌发病率低4%,但是乳腺癌死亡率却高40%,这一差距十年来一直没有变化。尽管宫颈癌是最可预防的癌症之一,但始终是20-39岁妇女癌症死亡的第二大原因。
肺癌,是50岁以上男性和女性癌症死亡的主要原因,造成的死亡人数远远超过乳腺癌、前列腺癌和结直肠癌的总和。

–05–
自1991年以来,美国癌症死亡率持续下降,总体下降了33%,避免了约380万因癌症死亡。主要原因是:肺癌由于吸烟人数的减少。乳腺癌、结直肠癌和前列腺癌是由于早期筛查的普及和治疗方法的改进。靶向治疗和免疫治疗的发展,降低肺癌的死亡率。
2019年,全球爆发了新冠疫情。但是,美国2019-2020年的癌症死亡率继续下降,但是需要注意的是,新冠病毒大流行对死亡率的影响将持续多年,在2020年至2021年期间,美国的预期寿命继续下降。
尽管癌症的整体发病率持续降低,但是乳腺癌、前列腺癌和子宫癌发病率的上升仍然值得关注,相关机构仍应增加群众获得医疗护理的机会,广泛应用现有癌症控制干预措施并增加相应投资,加快抗癌进展。(来源:干细胞者说)
△上文图表均根据原文章数据整理,引用时请标注原文章,格式见顶部。更多信息请查看原文:
https://acsjournals.onlinelibrary.wiley.com/doi/10.3322/caac.21763
根据世界卫生组织国际癌症研究机构(IARC)近日发布的2020年全球最新癌症负担数据,中国已经成为了名副其实的“癌症大国”。2020年中国新发癌症病例457万例,其中男性248万例,女性209万例,2020年中国癌症死亡病例300万例,其中男性182万例,女性118万例。这个比之前发布的数据高上了不少,就让我们一起来看看中国的具体数据分析:
2020年全球新发癌症病例1929万例,其中中国新发癌症457万人,占全球23.7%,由于中国是世界第一人口大国,癌症新发人数远超世界其他国家。
2020年癌症新发人数前十的国家分别是:中国457万,美国228万,印度132万,日本103万,德国63万,巴西59万,俄罗斯59万,法国47万,英国46万,意大利42万。
2020年全球癌症死亡病例996万例,其中中国癌症死亡人数300万,占癌症死亡总人数30%,主要由于中国癌症患病人数多,癌症死亡人数位居全球第一。
2020年癌症死亡人数前十的国家分别是:中国300万,印度85万,美国61万,日本42万,俄罗斯31万,巴西26万,德国25万,印度尼西亚23万,法国19万,英国18万。

2020年中国癌症新发病例457万例,乳腺癌在全球发病数高居第一,但在中国则在肺癌、结直肠癌、胃癌之后,位居第四。
2020年中国癌症新发病例数前十的癌症分别是:肺癌82万,结直肠癌56万,胃癌48万,乳腺癌42万,肝癌41万,食管癌32万,甲状腺癌22万,胰腺癌12万,前列腺癌12万,宫颈癌11万,这十种癌症占新发癌症数的78%。

2020年中国癌症死亡人数300万,肺癌死亡人数遥遥领先,高达71万,占癌症死亡总数的23.8%。
2020年中国癌症死亡人数前十的癌症分别是:肺癌71万,肝癌39万,胃癌37万,食管癌30万,结直肠癌29万,胰腺癌12万,乳腺癌12万,神经系统癌症7万,白血病6万,宫颈癌6万,这十种癌症占癌症死亡总数的83%。

2020年中国男性新发癌症病例数248万,占总数的54%,其中肺癌、胃癌、结直肠癌、肝癌发病数最多。
2020年中国男性癌症新发病例数前十的癌症分别是:肺癌54万,胃癌33万,结直肠癌32万,肝癌30万,食管癌22万,前列腺癌12万,胰腺癌7万,膀胱癌7万,甲状腺癌5万,非霍奇金淋巴瘤5万,这十种癌症占男性新发癌症数84%。

2020年中国男性癌症死亡病例数182万,占总数的61%,其中肺癌、肝癌、胃癌、食管癌死亡数最多。
2020年中国男性癌症死亡病例数前十的癌症分别是:肺癌47万,肝癌29万,胃癌26万,食管癌21万,结直肠癌16万,胰腺癌7万,前列腺癌5万,白血病4万,神经系统癌症3万,非霍奇金淋巴瘤3万,这十种癌症占癌症死亡总数的88%。

2020年中国女性新发癌症病例数209万,占总数的46%,乳腺癌、肺癌、结直肠癌发病人数最多。
2020年中国女性癌症新发病例数前十的癌症分别是:乳腺癌42万,肺癌28万,结直肠癌24万,甲状腺癌17万,胃癌15万,宫颈癌11万,肝癌11万,食管癌10万,子宫内膜癌8万,卵巢癌6万,这十种癌症占女性新发癌症数81%

2020年中国女性癌症死亡病例数118万,占总数的39%,肺癌、结直肠癌、胃癌、乳腺癌死亡数最多。
2020年中国女性癌症死亡病例数前十的癌症分别是:肺癌24万,结直肠癌12万,胃癌12万,乳腺癌12万,肝癌10万,食管癌9万,宫颈癌6万,胰腺癌5万,卵巢癌4万,神经系统癌症3万,这十种癌症占癌症死亡总数的83%。

在全球范围内,由于人口老龄化的加剧,预计2040年相比2020年,癌症负担将增加50%,届时全新新发癌症病例数将达到近3000万。这在正经历社会和经济转型的国家中最为显著。
对于中国而言,将癌症预防和治疗干预纳入卫生计划,将有助于降低未来的癌症负担,同时推动抗癌创新药物的发展,“预防+治疗”双管齐下,才能更好的降低癌症负担,护卫人民健康。